When your broadband speeds hover near dialup speed, as ours have been doing recently, it’s clear that something needs to be done. The question is, what’s left?
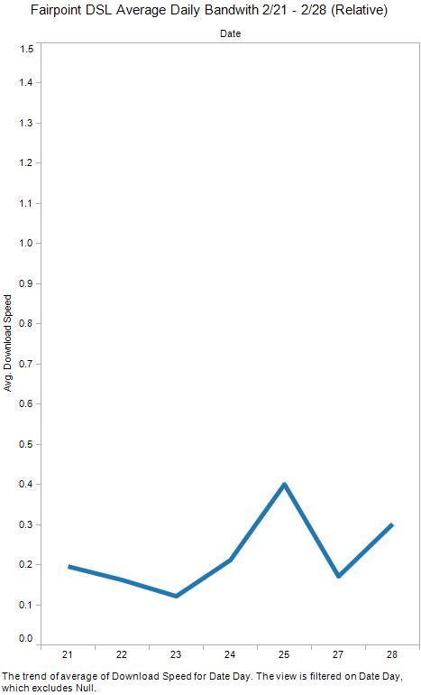
We have two Fairpoint DSL lines here at the house: one for the office, and one for our personal use. Neither connection has been reliable, but the personal DSL connection is slow enough to be effectively unusable at present. Here’s a graph of the average bandwidth per day from February 21st through today. Doesn’t look too bad if you don’t squint and actually look at the Y axis. But here’s what happens when we adjust for context, making the scale relative to the bandwidth our connection promises: 1.5 mbps. Our average daily bandwith last week – .2058 mbps – is approximately 1/7th of what we’re paying for. You know how DSL providers boast a connection that is “up to 27 times faster than dialup?” Ours, on average, is about three and a half. Wednesday of last week, it was two. Clearly, there is a problem somewhere. I don’t believe it’s our local equipment, as we’ve been through multiple routers, some supplied by Fairpoint, others by us. We’re told that the noise levels on the line are fine, and we’re right around the corner from the CO so to speak. We’ve been through the traditional support process with Fairpoint. Three times, actually, with two different technicians. Everything they have tried, collectively, has failed. Our bandwidth remains terrible. Unfortunately, we have no real alternative bandwith options save satellite, which is not attractive, and cellular data, which is cost prohibitive for our bandwith needs. Anybody have any suggestions? Or can anybody from Fairpoint actually look into this enough to identify the problem? Because I’m getting tired of calling support over and over to no effect.Month: February 2011
today’s big accomplishment:
start the clock: i now have 14 days to decide if a tablet works for me:
one output of said jobs – Operating System Mentions on Hacker News…By Year:
what happens when NetFlix Watch Instantly meets unlimited 3G:
current status:
What Went Wrong On Our Trip to Europe and What You Can Learn From It
It’s been a long time since I was in Europe. No surprise, things have changed.
No one takes American Express anymore, for example. Passing through customs is less pleasant than it used to be. And the people in France were actually very friendly this time around.
Mais plus ça change, plus c’est la même chose. Which in the O’Grady family means that our European vacation resembled European Vacation. Nothing went as planned. From the moment we arrived at Logan to our trip home, it was one misadventure after another.
And I wouldn’t have changed it for the world. Well, except for the train thing. And the ATM problem. Anyway, here’s what went wrong for us and what you can learn from it.
Why We Were At the Airport Five Hours Early
About a week before our trip, I received an email from Aer Lingus with advice on our upcoming trip. It read in part as follows:
Airport Information In Boston, Aer Lingus operates from Terminal E at Logan International Airport. For Boston Logan parking information click here. Check-in is on the 3rd Floor, Departures Level. Please check-in three and a half hours prior to your scheduled departure time.
Most people look at the three and a half hour recommendation and think: that’s insane. But most people are not O’Grady’s. As my wife has discovered, we are early as a family. Painfully so. If Aer Lingus said three and a half hours, well, maybe we didn’t have to be there quite that far in advance, but three hours seemed reasonably conservative for an international flight. Seemed to me, anyway: my wife is far more normal in this regard.
Thus we arrived at Logan around 1 for our 4:15 PM flight. Except that the flight was actually at 6:15 PM, two hours later. The good news was that it’s better to think your flight is leaving earlier than it actually is than later. The bad news was that we were now at Logan a full five hours before our flight left; so early, in fact, that we couldn’t even check in.
The Lesson
Know the real time that your flight is leaving: it will make everything much smoother.
Why I Had No Mobile Data
When you go to Europe you get a guidebook. Fodor’s, Lonely Planet, whatever: it’s your world while you’re there, telling you where to go and how to get there. We had these for Brussels and Paris both, but it being 2011 I thought we could do better. Anyone with an iPhone can tell you that paper maps, at least, are going the way of the dodo. I couldn’t tell you the last time I printed directions to anywhere because in my phone I have a portable GPS. But of course phones from the US don’t work in Europe. Or worse, they might, and you get an $837.20 bill for your seven day trip.
Enter unlocked phones. For those of you with an unlocked (can be used on any carrier) GSM (i.e. not Sprint or Verizon) phone – which is almost none of you – there’s the mobile prepaid SIM. Basically you take your AT&T or T-Mobile SIM card out of the phone, pop in a SIM from one of the carrier’s in the country you’re visiting and you’re off to the races. In theory.
In practice, the idea is sound but the execution can be a bit problematic. Here’s what went wrong for me.
- The first thing I needed to do was find a carrier with prepaid SIMs for Belgium. After asking on Quora, Mobile Vikings was recommended to me. Given that their rates seemed reasonable (for mobile data) – 2 GB per €12 – I ordered one about a week before traveling. The only problem was that it didn’t arrive.
- While the email from Mobile Vikings said “You can expect our package tomorrow (or the next business day),” apparently that means if you are in Belgium. Shipments to the US, it turns out, take a lot longer. Which I hadn’t known. To Mobile Vikings’ credit, they offered to ship out another SIM immediately to my address in Belgium so that it was waiting for me when I got to the hotel on Saturday morning.
- The SIM was not waiting for me when I got to the hotel on Saturday morning. And with no post on Sunday, it didn’t arrive until we checked out Monday morning, meaning out of the four days we were in Belgium I had no SIM for two of them.
- After we arrived at our new hotel (thanks to a bookng mistake on my part) Monday afternoon, I popped in the new SIM, went through the activation process and waited for it to show data availability. Which would take, accordng to the activation website anywhere from 30 minutes to 24 hours. The card still wasn’t active for data when we left on the train to Paris the next morning.
- When we returned to Brussels after our whirlwind tour of Paris, it still wasn’t active. But we had a full slate left in Brussels, so I didn’t have the time to look at the Mobile Vikings website until that night. As it turned out, I had only purchased the SIM card with my 12 Euros; I’d purchased no data. I was waiting, in other words, for data to come online that I had not purchased. With a 10 AM international flight the next morning, remedying this situation seemed pointless, so I went to bed the last night in Belgium not ever having gotten mobile data to work.
The Lessons
- Order your SIM card early. And by early, I mean weeks before your trip.
- Understand that it may take up to 24 hours to activate your data plan, whether it’s in Belgium, France or elsewhere.
- If your data doesn’t show up, make sure you’re topped up by checking your account online.
- If you don’t have an unlocked phone, you can look at mobile mifi devices: see either DROAM or Xcom.
Why Our Hotel Check-in Was Eventful
The hotel we’d picked for the beginning portion of our stay, the Royal Windsor, was well rated on Hotels.com, and indeed the rooms are lovely if a bit small with dark wood paneling, muted carpets and windows that didn’t open. If, that is, you get one of their normal rooms. Instead on check-in the Royal Windsor directed us to one of their “Fashion Rooms.” These are “hotel rooms recreated as art by trendy fashion designers.” They are also the strangest hotel rooms I have ever seen, easily.
The picture doesn’t do it justice: from the concrete floors to the garishly painted curved walls to the sunken circular bed to the plastic furniture, the Royal Windsor’s Fashion Rooms are – if nothing else – a room you don’t want to see after you’ve spent the night on a plane. In retrospect, I wish I’d seen the reviews here before we checked in, because Room 144 was the one we were initially given.
Fortunately, when we asked for a new room the Royal Windsor granted it without objection.
The Lesson
If you stay at the Royal Windsor in Brussels, be firm that you do not want a fashion room, especially 144. Just trust me on this.
Why You Shouldn’t Trust Google Maps in Brussels
Because it’s Google Maps. Everyone’s had Google Maps lead them astray in the States: why should Europe be any different? Our first problem with Google Maps came from the fact that in spite of having the address correct, Google Maps places the hotel incorrectly on the map. Here is where Google Maps places the hotel if you look it up by name.
Here, on the other hand, is where it says the hotel is if you just cut and paste the address Google Maps itself has for the hotel:
As we’d planned our first lunch destination in Brussels using the first location, which had us about a half a mile from where we actually we were, you can see how we were a bit turned around. Adding to the confusion is Google Maps curious decision to not label the primary landmark of the tourist district – Grand Place – on the map. To demonstrate, see if you can find the words Grand Place on this map of Brussels.
If you hunt a bit, you’ll see it the names of the Hotel Alma and the Novotel, neither of which help tell you where it actually is. Grand Place, as you might have guessed, is that gray square in the middle of the map. Why it’s not labeled at this level is the question; as Wikipedia can tell you, Grand Place is quite the destination. Between the Brussels town hall and the Broodhuis (Breadhouse), the architecture is massively impressive. As is, I would imagine, the flower carpet when it’s assembled. But it gets no love from Google Maps for whatever the reason. Which makes it hard to determine where things are, because after being in Brussels for a short while, you tend to find things relative to where they are in relation to Grand Place.
What I can’t blame Google Maps for was the fact that I was never able to reconcile my mental model of Brussels with Google Maps’ version. Where Google Maps oriented things left to right, I thought of them as top to bottom. I can’t explain why this should be, but I struggled with it the entire trip. But irrespective of my mental block, Google Maps has some substantial issues with its coverage in Brussels.
The Lesson
Do not trust Google Maps, obviously.
Why Using the Transit System May Be a Problem
ULB, the Belgian university where FOSDEM was being held, was 5.1 kilometers from the hotel (bad) but easily accessible by public transport (good). It took me twenty minutes longer to find Gare Centrale to pick up my bus to ULB than it should have because of the aforementioned problems with where Google Maps believed our hotel to be, but even after getting there I was unable to purchase a ticket for the bus using the automated machines. Helpfully, they have an English mode for their touchscreen, which walks you through the purchasing process. Less helpfully, the attached credit card reader display only speaks French and Flemish (Belgian Dutch), the former of which I have some vocabulary in and the latter of which is entirely opaque to me. Unfortunately, the card reader didn’t take American Express and kept trying to speak to me in French and Dutch about my Mastercard using words that somehow never came up in my French classes. As later events proved, it might have been my card that it didn’t like, but I’ll never know because eventually it got tired of me, spit my card out and cancelled my transaction.
The Lesson
You might have to purchase your bus or train tickets from an actual person at Gare Central.
Why You May Have Trouble Getting Cash
Sunday night after FOSDEM ended, the lawyer and I decided to return to our late night venue of the previous night, the Poechenellekelder, for some after dinner Cantillons. Unbeknownst to us, it was a cash only establishment and we’d exhausted our supply of euros earlier that day. At the restaurants suggestion, I walked two blocks over to a cash machine in Grand Place, where I attempted to get cash. And failed. As I did at the next six cash machines I tried. With plenty of cash in the account, and having successfully withdrawn cash from the airport in Dublin, this was confusing. Fortunately a friend of ours – thanks Joe! – happened to be there that night and spotted us the necessary cash to pay the bill. A couple of the other people in our group mentioned having similar trouble getting cash, and said that while two of the machines in the ING on le Rue du Marche aux Herbes also wouldn’t work, one would. The next morning the first ATM I picked was one of those that didn’t work, and I began mentally considering how we’d get through the rest of our time in Europe with no cash. Fortunately, the second one I tried – as promised – yielded the necessary funds.
It is still not clear to me why some of the ATMs would accept my card and some would not, but word to the wise: your card may or may not work in Belgium (we had no such issues in Paris).
The Lessons
- Be aware ahead of time which venues are cash only: wandering around an unfamiliar city at night in desperate search of cash while your wife is sitting alone at the restaurant with no way to contact each other is suboptimal.
- If your cash cards don’t work, don’t panic: some will, and it’s just a matter of identifying these.
How You Can Print Your Ticketless Train Confirmation
Tuesday morning we were scheduled to take the train from Brussels to Paris there to stay for one night. We had purchased a ticketless reservation from Thalys, which itself was a trial as their website has a few issues. With ticketless travel, you print your confirmation beforehand and just hop on the train. Which sounds easy, doesn’t it? Tuesday morning, we got up, checked out and tried to print our respective confirmations at the Sheraton Brussels, which is where the firedrill began.
- The front desk at the Sheraton directed us to a bank of computers in the lobby for printing. They required a login, but after feeding it our last name and room number, it refused to grant us access. Back to the front desk.
- After initially telling us to just enter our last name and room number, they gave us a separate login. After successfully navigating the non-US keyboard whose keyboard didn’t match the output, we were in. I headed to my Gmail account, went to print out the confirmations that had arrived at 3:30 AM that morning. On attempting to print, I discovered that there were no printers configured on the machine. Back to the front desk.
- After some discussion, it was determined that we had to print to a file, upload that file to a separate website, provide that website with a confirmation/hotel code (that they didn’t have readily available), and then wait for it to print. At which point I asked where the business center was located.
- The business center featured a very slow Windows XP machine directly attached to a printer, which seemed promising. Upon trying to login, I was told that I couldn’t login to two machines – this one and, presumably, the machine in the lobby, simultaneously. Back to the lobby.
- With time before our departure growing short, we decided to head to the train station and see if they could simply look up our reservation and print tickets. The Thalys information counter said that they could not, but that we were “probably” fine if we had our six digit confirmation code. Which we couldn’t find.
- Even if we found that, the confirmation code didn’t tell us where we were sitting, and the train has assigned seating. So we attempted to get on the internet and look that up using my laptop and both phones. We couldn’t find an open network in the train station.
- Heading up to the train, we debated guessing at where we were sitting, then discovered that the train had active wireless aboard. Five minutes before departure, then, we’d gotten online and discovered at least where we our seats were located.
- Once on board, I “printed” the tickets to a .pdf file on my desktop, and hoped the conductor could scan my screen. When he came by, I pointed the screen at him, he scanned both QR codes without comment, and moved on.
The Lesson
On Thalys, at least, all the conductor needs is the QR code from the ticket. If you can print this to a laptop or (presumably) a mobile phone, you’ll be fine: paper isn’t necessary. Just make sure you know where you’re sitting.
How to Buy a Ticket for the Paris Metro
When we arrived in Paris, we’d planned on taking the Metro to the apartment where we were staying. So we lined up for a ticket machine, only to discover that the machines at the Paris train station don’t take regular Mastercard (and no AMEX), only European Mastercard. So we had to break some of our remaining Euros up into coins to purchase our tickets. Once done, the Metro is as easy to navigate as the T in Boston.
The Lesson
When you arrive at the Paris train station, have coins ready for purchasing tickets. That, or a European Mastercard or Visa.
How to Climb to the Top of the Arc de Triomphe
One of the first things we did in Paris, where I had never been, was take the Metro over to the Arc de Triomphe. You can purchase tickets there for around 9 euros to climb to the top, where the views of the city are quite spectacular. After buying two tickets, I was handed a single pink slip which I assumed indicated that two of us were allowed up. Presenting it at the foot of the arc, we were asked where our second ticket was. We explained we’d only been given the one. They explained that we’d have to go back and sort that out. Which we did, ultimately.
The Lesson
If you’re climbing the Arc de Triomphe, you need a ticket per person.
How to Have Fun Even When Things Go Wrong (Because They Will Go Wrong)
Even if you’re not a Griswold, or even just an O’Grady, things will go wrong. You’re going to get lost, you’re going to miss flights, things will get stolen, and so on. The only real solution to this is to embrace it as part of the experience. Generally, the worst case scenario just isn’t that bad. Even as we weren’t sure whether we were actually going to be able to get on the train to Paris, I was sure that we’d be laughing about it later. As we are. So understand that your carefully laid plans are not likely to survive actual contact with your trip, and just try and have fun.
We most certainly did. See the pictures here.








